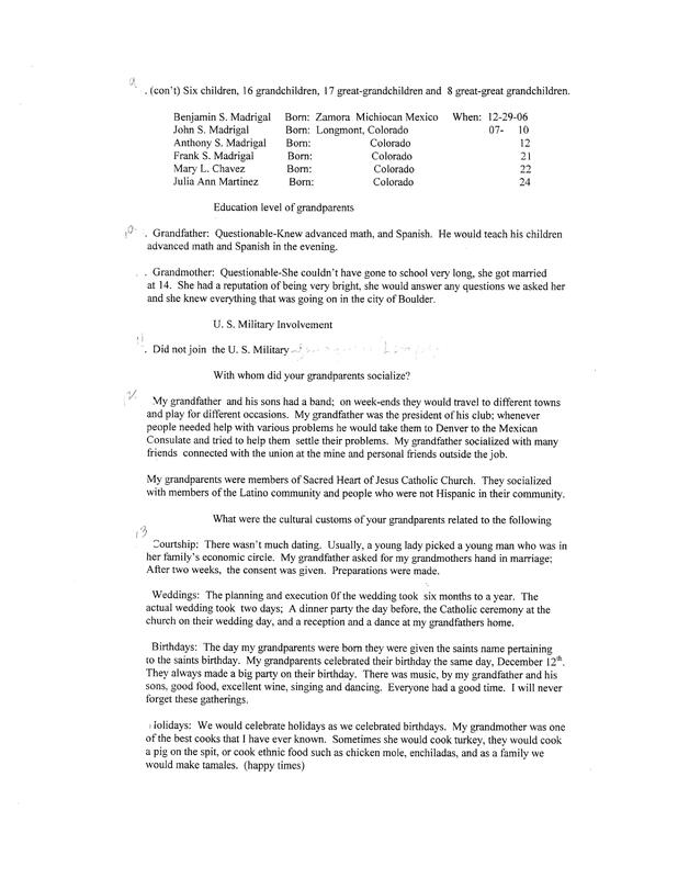
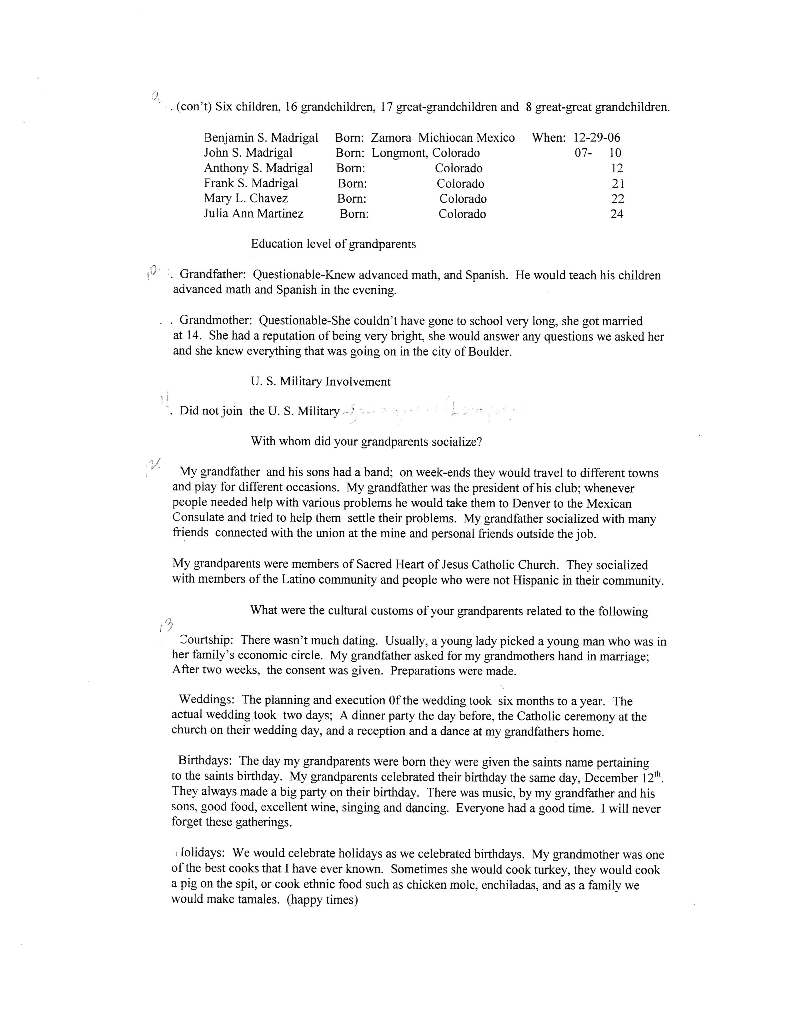
Biographies of Boulder's Madrigal family
Dublin Core
Title
Biographies of Boulder's Madrigal family
p. 3
Date
2012
Type
Document
jpg
Identifier
Madrigal families
immigration
Mexico
Coverage
Boulder Hispanic Families project
Boulder; Kansas; Longmont; Michoacan
Mexico
Collection
Citation
“Biographies of Boulder's Madrigal family,” Boulder County Latino History Project, accessed April 23, 2026, https://latinohistoryproject.org/boulder/items/show/3052.

